随着“白色污染”污染的加剧,全球各国纷纷推出更加严格的限塑令,可降解塑料袋占据了各大超市和购物中心,细心观察便会发现,这些可降解塑料袋的品种几乎全都是PBAT+PLA+St。那么PBAT+PLA+St究竟有什么优势呢?

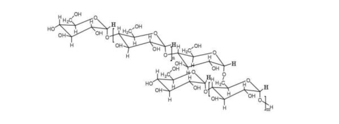
淀粉
淀粉广泛的分布于水果或植物果实、根蒂或叶片当中。全世界每年有高达数亿吨的淀粉产量,是众多可再生且可生物降解的资源当中的一种,有着来源广泛、价格低廉的优势。但由于天然淀粉因具有微晶结构及粒状结构,不具有热塑加工性能,需被改造为热塑性淀粉,从而具有热塑加工性能。
支链淀粉结构
直链淀粉结构

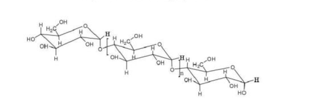
PBAT
聚己二酸/对苯二甲酸丁二脂(PBAT)是其中备受关注的一类可降解聚酯,既具有PBT聚酯良好的力学性能,又兼具脂肪族聚酯良好的拉伸性和延展性,还可以在自然条件下降解为水和二氧化碳。

但该材料的价格较高,限制了其在市场中的应用;因此,其价格低廉、可降解的淀粉与PBAT共混就是最好的选择
PLA
PLA(polylactic acid)也称为聚乳酸,聚乳酸的生产过程无污染,而且产品可以生物降解,实现在自然界中的循环,因此是理想的绿色高分子材料,是生物基生物降解塑料的代表之一。

但是在现实应用中也存在很多不足: PLA 的韧性比较差,缺少弹性以及柔性,质地硬而且脆性大,溶体强度相对较低,结晶速率过慢等,上述缺陷限制了其在很多方面的应用。
PLA 的化学结构中含有大量的酯键,导致其亲水性差,降解速率需要控制等。而且 PLA 价格较高,增加了原料成本,也限制了其在商业上的推广。因此,针对以上诸多缺点,对 PLA 进行改性。
PBAT质地软、延展性强、降解周期短;PLA质地脆、韧性差、降解周期长,因此把两者混合使用,是一种极好的协同改善性能的方法。
PBAT/PLA材料介绍
【相容性】
PBAT与PLA的熔融共混是一种物理改性手法,其要点就是要求两者相容性好。但PBAT与PLA的溶解度差异较大,因此相容性差,很难混合均匀。
改善PBAT与PLA的相容性就是首要问题。需要在共混加工过程中加入一种或多种增容剂,提高PBAT、PLA界面的粘合力。常用的增容剂有:增塑剂、反应性增容剂、韧性高分子聚合物。
【力学性能】

PLA与PBAT有着互补的性能,因此必然存在综合性能最好的质量比。
1、 PLA比例升高至40%为节点,材料拉伸强度先减小后增大,断裂伸长率先是大幅度下降,随后保持平稳。
2、 如果PLA含量大于70%则材料脆性过强无法吹塑成膜。因此PLA与PBAT的比例应根据添加剂情况维持在1:1左右。
【降解性能】
材料降解初期的反应是水分子进入发生水解反应。如果是单独的PBAT材料,由于分子结构存在刚性酯键,水分子难以进入因此不易降解。而PLA分子易被水分攻入发生内部降解,因此PLA含量越高,材料降解速度越快。